typora的基本使用方法

AffettoIris 2022-9-26 3,073 9/26

 

Typora的基本使用方法

  1. 标题级数快捷键:Ctrl + 1~6

  2. 引用 快捷键:Ctrl+shift+Q 或 >+空格 //quote

    示例。退出引用:shift+Tab (一般在引用内容写完的下一行使用)

  3. 无序列表 快捷键:Ctrl+shift+]

  4. 有序列表 快捷键:Ctrl+shift+[

    想要子列表:按Tab;回到上一层:shift+Tab

    • 1

    • 2 试试在此按tab

      • 3 试试按shift+Tab

  5. 链接 快捷键:

    插入链接: Ctrl + K或 [内容]+(链接) 百度
  6. 插入图片

    直接拖动(复制粘贴)到指定位置即可 或者ctrl+shift+i // i代表image

    缺点:本地图片是copy一份到指定的目录下,而非直接访问那个原本地图片;

    网络文件则不是,是直接访问网址得到图片。但可以改设置。

  7. 高亮 == content ==

    得先在偏好里开启高亮

  8. 字体

    • 加粗: Ctrl+B //blod

    • 代码:Ctrl+shift+ `

    • 删除线: Alt+shift+5

    • 斜体: Ctrl+I // italic

    • 表格: Ctrl+T // table

    • 代码块:**ctrl shift K

  9. 公式块: Ctrl+shift+M

  10. 分割线: 三个短横线---或者三个星号***

  11. ctrl+b加粗/不加粗

  12. 直接打出小于号呈现左侧效果

    可嵌套

画图

Mermaid是一种简单的类似 Markdown 的脚本语言,通过 JavaScript 编程语言,将文本转换为图片。真正实现画图功能的并不是 Typora 本身,它只是内置了对 Mermaid 的支持,可画时序图、流程图、类图、甘特图等等。

先在 Typora 中,输入 ```mermaid 然后敲击回车,即可初始化一张空白图。

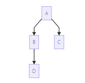
流程图

语法解释:graph 关键字就是声明一张流程图,TD 表示的是方向,这里的含义是 Top-Down 由上至下。方向有top和down互转、left和right互转,即TD、DT、RL、LR。

graph TD;
    A-->B;
    A-->C;
    B-->D;
typora的基本使用方法

时序图

语法解释:->> 代表实线箭头,-->> 则代表虚线。

sequenceDiagram
    Alice->>John: Hello John, how are you?
    John-->>Alice: Great!

typora的基本使用方法

状态图

语法解释:[*] 表示开始或者结束,如果在箭头右边则表示结束。

stateDiagram
    [*] --> s1
    s1 --> [*]

typora的基本使用方法

类图

语法解释:<|-- 表示继承,+ 表示 public- 表示 private,学过 Java 的应该都知道。

classDiagram
      Animal <|-- Duck
      Animal <|-- Fish
      Animal <|-- Zebra
      Animal : +int age
      Animal : +String gender
      Animal: +isMammal()
      Animal: +mate()
      class Duck{
          +String beakColor
          +swim()
          +quack()
      }
      class Fish{
          -int sizeInFeet
          -canEat()
      }
      class Zebra{
          +bool is_wild
          +run()
      }

typora的基本使用方法

甘特图

甘特图一般用来表示项目的计划排期,目前在工作中经常会用到。

语法也非常简单,从上到下依次是图片标题、日期格式、项目、项目细分的任务。

gantt
    title 工作计划
    dateFormat  YYYY-MM-DD
    section Section
    A task           :a1, 2020-01-01, 30d
    Another task     :after a1  , 20d
    section Another
    Task in sec      :2020-01-12  , 12d
    another task      : 24d

typora的基本使用方法

饼图

饼图使用 pie 表示,标题下面分别是区域名称及其百分比。

pie
    title Key elements in Product X
    "Calcium" : 42.96
    "Potassium" : 50.05
    "Magnesium" : 10.01
    "Iron" :  5

typora的基本使用方法

Typora皮肤商店及好看的主题

https://theme.typora.io/

好看的主题安利:

  1. [ typora的基本使用方法

    Happysimple (最好看,可爱苹果风格)

  2. [ typora的基本使用方法

    Cobalt (黄色调,暗色背景,适于夜晚工作时用)

  3. [ typora的基本使用方法

    Liquid (邪恶紫,配色没有太惊艳,但是因为全屏,适用于阅读时,所以体验感排第二)

  4. [ typora的基本使用方法

    Sneh 少女粉风格

  5. Typora-Theme-Neumorphism (古书籍风格,最适配wordpress,写文章时复制粘贴上去)

    typora的基本使用方法

 

- THE END -

AffettoIris

11月06日14:49

最后修改:2023年11月6日
0

非特殊说明,本博所有文章均为博主原创。

共有 2 条评论

  1. ZHWEI

    已添加友链:
    [ 本站名称 ] ZHI-BLOG
    [ 本站介绍 ] 空着
    [ 本站地址] https://blog.zhwei.tech/
    [ 本站图标 ]https://zhwei.tech/static/img/favicon.ico

    1. AffettoIris

      AffettoIris博主

      @ZHWEI: 欢迎新朋友,已添加贵站友联~ ?